محتويات

قوانين نيوتن في الحركة
تصف قوانين الحركة الثلاثة التي صاغها عالم الفيزياء والرياضيات الإنجليزي إسحاق نيوتن حركة الأجسام وعلاقتها مع القوى الخارجية المؤثرة عليها، وتُشكل هذه القوانين أُسس الميكانيكا الكلاسيكية،[١] وفيما يلي نص قوانين نيوتن الثلاثة للحركة:
قانون نيوتن الأول
يُعرف هذا القانون بقانون القصور الذاتي، وهو مقاومة الجسم للحركة، أو مقاومة الجسم لحدوث أي تغير في حركته، أي أنّ الجسم قاصر، أو لا يُمكنه تغيير حالته من السكون إلى الحركة، أو تغيير اتجاهه من تلقاء نفسه، ويجب أن تؤثر عليه قوة خارجية ليحدث تغيير على حالته الساكنة.[٢]
قانون نيوتن الثاني
يوضح نص قانون نيوتن الثاني على أنّ تسارع الجسم يعتمد على عاملين رئيسيين وهما القوة الكلية الخارجية المؤثرة على الجسم، وكتلة الجسم، بحيث يتناسب التسارع تناسبًا طرديًا مع مقدار القوة الكلية المؤثرة عليه ويكون في نفس اتجاهها، بينما يتناسب تناسبًا عكسيًا مع كتلة الجسم، ويُمكن تمثيل قانون نيوتن الثاني بالصيغة الرياضية التالية:[٣]
- القوة = الكتلة × التسارع
ويُمكن تمثيله بالرموز:
- ق = ك × ت حيث إنّ:
- ق: القوة الكلية، ويُعد كمية متجهه، ويُقاس بوحدة نيوتن (N).
- ك: كتلة الجسم وتُقاس بوحدة الكيلوجرام (كغ).
- ت: تسارع الجسم، ويُعد كمية متجهة حيث يُقاس بوحدة م/ث².
قانون نيوتن الثالث
يوضح قانون نيوتن الثالث بأنّ أي جسمين يتفاعلان أو يتلامسان مع بعضها البعض تنتج عنهما قوتان، بحيث القوة المؤثرة على الجسم الأول تساوي القوة المؤثرة على الجسم الثاني في المقدار وتعاكسها في الاتجاه وهذا ما يُطلق عليه فعل ورد فعل، على سبيل المثل عندما يجلس الشخص على الكرسي فإنّه يؤثر عليه بقوة هابطة للأسفل، وبنفس الوقت يؤثر الكرسي على الشخص بقوة صاعدة مساوية لمقدار القوة الهابطة، إلّا أنّها عكس الاتجاه وهي للأعلى.[٤]
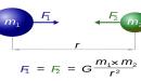
قانون الجذب العام
ينص قانون الجذب العام لنيوتن على أنّ أي جسم في الكون يُمكنه جذب جسم آخر بقوة تجاذب تتناسب طرديًا مع حاصل ضرب كتلتيهما، وعكسيًا مع مربع المسافة بينهما،[٥] وبذلك وضح نيوتن بهذا القانون بأنّ كل الجسيمات التي تحمل كتلة تُمارس قوة الجاذبية على بعضها البعض واستطاع الكشف عن كيفية ترابط جسيمات الكون ببعضها البعض من خلال الجاذبية المتبادلة فيما بينها، وبهذا قدّم رؤية عميقة لميكانيكا العالم الطبيعي،[٦] ويُمكن تمثيل القانون بالصيغة الرياضية التالية:[٥]
- قوة الجاذبية = (ثابت الجاذبية الأرضية × كتلة الجسم الأول × كتلة الجسم الثاني)/ مربع المسافة بينهما
ويُمكن تمثيله بالرموز كالتالي:
- ق = (ث × ك1 × ك2)/ ف² حيث أنّ:
- ق: قوة الجاذبية الأرضية وتُقاس بوحدة نيوتن (N).
- ث: ثابت الجاذبية الأرضية، وقيمته ثابتة وتساوي 6.67 × 10-11نيوتن.متر مربع/ كيلوجرام مربع (نيوتن.م²/كغ²).
- ك1: كتلة الجسم الأول وتُقاس بوحدة كيلوجرام (كغ).
- ك2: كتلة الجسم الثاني وتُقاس بوحدة كيلوجرام (كغ).
- ف: المسافة بين الجسمين وتُقاس بوحدة المتر (م).
قانون نيوتن في التبريد
ينص قانون نيوتن للتبريد على أنّ معدل فقدان الحرارة من الجسم يتناسب طرديًا مع الاختلاف في درجة الحرارة بين الجسم ومحيطه، يُستخدم القانون لنمذجة درجة حرارة العديد من الكائنات وتأثرها بدرجة حرارة المحيط، على سبيل المثال يُمكن تطبيق القانون لمعرفة المدة التي سيستغرقها مشروب ساخن ليصل إلى درجة حرارة الثلاجة، كما أنّه يوضح سرعة برود كوب من الماء ساخن عند وضعه في غرفة باردة مقارنةً ببطء برودته عند وضعه في غرفة ساخنة،[٧] ويُمثل القانون بالصيغة الرياضية التالية:[٨]
- درجة حرارة الجسم عند زمن معين = درجة حرارة المحيط + (درجة حرارة الجسم الأولية - درجة حرارة المحيط) × العدد النيبيري (e)^(ثابت × الزمن).
ويُمكن تمثيله بالرموز كالتالي:
- (T(t) = Ts + (To – Ts) × e^(-kt حيث أنّ:
- T(t): درجة حرارة الجسم عند الزمن t، ويُقاس بدرجة سيليسيوس (ºC).
- Ts: درجة حرارة المحيط، ويُقاس بدرجة سيليسيوس (ºC).
- To: درجة حرارة الجسم الأولية، ويُقاس بدرجة سيليسيوس (ºC).
- k: ثابت يعتمد على طبيعة الجسم.
- t: الزمن ويُقاس بالدقيقة.
قانون نيوتن في اللزوجة
ينص قانون نيوتن في اللزوجة على أنّ إجهاد القص بين طبقات السائل المتجاورة يتناسب طرديًا مع القيمة السالبة لتدرجات السرعة بين الطبقتين،[٩] وعلى أساسه تُصنف السوائل إلى سوائل نيوتونية وسوائل غير نيوتونية، فالسوائل النيوتونية هي السوائل التي تتبع قانون نيوتن للزوجة بحيث تكون علاقة إجهاد القص المطبق عليها علاقة خطية مع تدرج السرعة، أمّا السوائل غير النيوتونية فهي السوائل التي لا تتبع قانون نيوتن للزوجة ولا يتناسب الإجهاد المطبق عليها بشكل مباشر مع تدرج السرعة،[١٠] ويُمكن تمثيل القانون بالصيغة الرياضية التالية:[١١]
- إجهاد القص = معامل اللزوجة × تدرج السرعة
ويُمكن تمثيله بالرموز كالتالي:
- Ԏ = μ (du / dy) حيث أنّ:
- Ԏ: إجهاد القص، ويُقاس بوحدة نيوتن/م².[١٢]
- μ: معامل اللزوجة الديناميكية وتُقاس بوحدة (نيوتن×ث/م²).
- du / dy: تدرج السرعة، وتُقاس بوحدة 1/ثانية (ث-1).
الخلاصة
صاغ العالم الفيزيائيّ إسحاق نيوتن قوانين أساسية في علم الفيزياء والتي تُعد أسس الميكانيكا الكلاسيكية، كقوانين الحركة الثلاث التي تصف استجابة الأجسام للقوى الخارجية المؤثره عليها وساعدتنا في فهم كيفية تصرف الأجسام عندما تكون في حالة سكون وعندما تتحرك، وقانون الجذب العام الذي فسّر عدّة ظواهر تحدث في الكون وكيفية ترابط جسيمات الكون ببعضها البعض، إضافةً إلى قوانين مهمة متعلقة بخواص المواد كقانون نيوتن في اللزوجة، وقانون نيوتن في التبريد.
المراجع
- ↑ "Newton's laws of motion", britannica, Retrieved 31/8/2021. Edited.
- ↑ "Newton's Laws of Motion", byjus, Retrieved 31/8/2021. Edited.
- ↑ "Newton's Second Law", physicsclassroom, Retrieved 31/8/2021. Edited.
- ↑ "Newton's Third Law", physicsclassroom, Retrieved 31/8/2021. Edited.
- ^ أ ب "Newton's Law of Gravity", thoughtco, Retrieved 31/8/2021. Edited.
- ↑ "Newton's Law of Universal Gravitation", scholar.harvard, Retrieved 31/8/2021. Edited.
- ↑ "Newton's Law of Cooling", carolina, Retrieved 31/8/2021. Edited.
- ↑ "Newton's Law of Cooling - Formulas, Limitations, Examples", byjus, Retrieved 31/8/2021. Edited.
- ↑ "Newton’s Law of Viscosity", byjus, Retrieved 31/8/2021. Edited.
- ↑ "STATE NEWTON'S LAW OF VISCOSITY", hkdivedi, Retrieved 31/8/2021. Edited.
- ↑ "Newton's Law of Viscosity and Equation", mecholic, Retrieved 31/8/2021. Edited.
- ↑ عصام محمد عبد الماجد أحمد، صابر محمد صالح إبراهيم، ساتي ميرغني محمد أحمد، عباس عبد االله إبراهيم، الموائع، صفحة 20. بتصرّف.